0 引言
模數轉換器(ADC)在信號處理中起了一個非常重要的作用。在數字音頻、數字電視、圖像編碼及頻率合成等領域需要大量的數據轉換器。由于超大規模集成電路的尺寸和偏壓不斷減小,模擬器件的精度和動態范圍也不斷降低,對于實現高分辨率的ADC是一種挑戰。高階多位Delta-sigma ADC由于不需要采樣保持電路,電路規模小,可以實現較高的分辨率,因此在實際中得到廣泛的應用。Delta-sigma ADC采用過采樣技術和噪聲整形技術相結合,對量化噪聲雙重抑制,從而實現高精度模數轉換。在實際的設計中需要根據設計指標穩定性和動態范圍等進行折衷。要實現大的動態范圍,就需要較高的過采樣率和多位量化器。為了保持高階DSM的穩定性就需要使用多位量化器,而多位量化器會增加后續內部ADC的設計難度。因此,必須仔細選擇過采樣率和量化器的位數,以實現預期的性能指標。本文提出一種三階單環局部反饋的Delta-sigma調制器結構,利用Richard Schreier的Matlab Delta-sigma調制器設計工具包,推導調制器傳輸函數,并對系數進行優化,使用Verilog硬件語言對調制器進行行為級建模。調制器的信號帶寬為32.8kHz,過采樣率為128,工作時鐘8.4MHZ,精度16位,可以達到145dB以上的SNR。
1 Delta-sigma調制器的原理和結構
△-∑調制技術來自高分辨率的A/D、D/A變換器中的過取樣△-∑轉換技術,利用經典自動控制理論中負反饋概念,通過反饋環來提高量化器的有效分辨率并整形其量化噪聲。在對信號進行過取樣后,噪聲功率譜幅度降低,并通過一個對輸入呈低通而對量化噪聲呈現高通的噪聲整形器,將量化噪聲功率的絕大部分移到信號頻帶之外,從而可通過濾波有效地抑制噪聲。
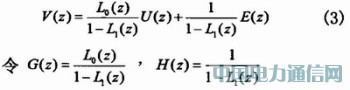
Delta-sigma調制器的仿真模型可以用圖1來表示。該系統是一個雙端輸入、單端輸出的線性系統,系統的一個輸入為外部輸入信號U,另一個輸入為量化器的反饋V,輸出則是量化器的輸入Y。

由圖1根據疊加原理,可知系統的輸出可以表示為

其中,L0(z)和L1(z)分別是輸入U(z)和V(z)到輸出Y(z)的傳遞函數。
令調制器量化噪聲為E(z),則調制器的輸出為

由式(1)、(2)可得

其中G(z)是信號傳遞函數(STF),H(z)是NTF(NTF)。所以

這種仿真模型將不同結構的Delta-sigma調制器用同一種模型來描述。因此,在設計調制器的NTF時不必考慮調制器具體的實現結構。
2 三階單環DSM結構
2.1 高階穩定的調制器函數的設計
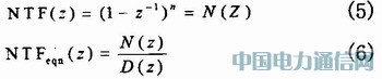
高階Delta-sigma的NTF具有一般形式(5)。從表達式可以看出,NTF的n個零點都集中直流頻率處。但是,文獻指出,如果將NTF的零點均勻地分布在信號基帶中,而不是全都集中在直流頻率處,將對量化噪聲有更好的整形效果。Delta-sigma調制器的不穩定狀態主要與調制器N-TF的帶外增益有關,為了限制NTF的帶外增益,將式(5)所示的NTF的一般表達式改寫成式(6)。

通過調整D(z)就可以有效地達到限制NTF帶外增益的目的。
Delta-sigma調制器的設計重點就是設計出使系統穩定mSTF和NTF。。在文獻中指出,NTF的極點決定了它的帶外增益,而帶外增益又與系統的噪聲整形性能及穩定性密切相關,帶外增益越高,噪聲整形的效果越好,但是帶外增益過高系統將不能穩定,而且帶外增益越高則輸入信號的穩定的范圍越小。所以,對于3階以上的Delta-sigma調制器,隨著輸入信號幅度的增加,調制器的SNR線性增長,但是當輸入的幅度超過一定值后。調制器的SNR突然下降,這時的調制器就處于不穩定的狀態。NTF的帶外增益決定了輸入信號幅度和調制器輸出SNR之間的一對矛盾關系。
在調制器階數、過采樣率以及調制器位數確定的情況下,調制器NTF設計的關鍵問題是,找出調制器能夠穩定所對應的輸入范圍。最大SNR所對應的輸入范圍就是調制器能夠穩定所對應的輸入范圍。
2.2 改進的DSM結構圖
實現傳輸函數的拓撲結構不是唯一的,是多種形式的,一般來說有四種結構使用最為普遍CIFB(cascade-integrator-feedback)、CRFB(cascade-resonator-feedback)、CIFF(cascade-integrator-feedforward)、CRFF(cascade-resonator-feedforward)。如果不需要經過零點優化,可以采用CIFB和CIFF的結構,需要零點經過優化可采用CRFB和CRFF結構。本文是高精度調制器的設計,而經過零點優化的可以得到更好的噪聲整形,實現更高的精度,而CRFF相對CRFB結構在電路設計方面具有結構更為簡單和電路規模更小的優勢,所以采用CRFF結構,如圖2。