1 引 言
科技、經濟等方面的不斷發展,為L ED 顯示屏的應用提供了廣闊的市場。作為一種媒介載體,L ED 顯示屏已成為影視表演、大型歌舞、綜藝晚會等不可缺少的組成部分,同時也是公共媒體、戶外廣告、亮化工程等城市建設的寵兒。
作為當前多媒體顯示終端的主流,人們對平板顯示器的顯示質量要求越來越高;叶燃壙刂颇芰ψ鳛樵u定平板顯示器的顯示質量的重要參數之一,長期以來備受關注;叶燃壙刂颇芰τ苫叶燃墧盗縼肀硎,所謂灰度級數量就是指可以進行控制的灰度級等級的多少,現行市場L ED 大屏幕顯示產品灰度級數量一般在12 bit 以上,但是現有的灰度測試技術標準還停留在8 bit 灰度測試基礎上,這種測試遠遠不能滿足技術和市場高速發展的雙重要求,因此,需要一種可以檢測8 bit以上灰度級控制的能力的方法和手段。
本文通過對采集到的灰度差增量畸變情況進行分析,利用畸變幅度的統計結果計算出L ED 大屏幕顯示產品灰度級控制的能力。實驗結果表明本文方法具有很好的實用性。
2 目前LED 顯示屏灰度級檢測方法
根據"SJ / T1128122007 L ED 顯示屏測試方法",灰度等級檢查方法如下:環境照度變化率小于±10 % ,整個測試過程儀器采集范圍不變;啟動軟件,逐級增加灰度級,顯示的亮度應隨著灰度級的上升呈現單調上升。其中最高標準為128 < G≤256 ,即顯示屏具有8 bit 灰度技術。
可以看到,目前使用的L ED 顯示屏測試方法為線性檢測方法。如果L ED 顯示屏線性灰度級顯示數量n 超過8 bit ,就需要準備額外的數據輸入設備和軟件,十分不便。實際上,L ED 顯示屏測試方法測量的是顯示屏最小線性灰度等級分辨率,而不是真正意義上的顯示屏有效灰度級。從理論上講,顯示屏的最小線性灰度等級分辨率越精細,則灰度校正深度越高,同時抽值式校正的準確程度越好,使有效灰度級顯示的能力得到提高。
測定L ED 顯示屏的最小線性灰度等級分辨率的方法雖然可以從某方面反映顯示屏的有效灰度級水平,但是不能直觀評估顯示屏的顯示灰度特性。另外,目前大多數L ED 顯示屏灰度參數都在12 bit 以上,同時在光電轉換過程中,由于某些細微的情況發生,產生一些對應關系失衡,所以僅僅知道L ED 顯示屏的最小線性灰度等級分辨率并不完全代表其灰度級控制的準確性。
3 圖像數據和灰度級之間函數關系
由于歷史原因,當前的標準視頻圖像數據如果直接用于平板顯示器就會造成灰度級畸變問題;叶燃壷傅木褪秋@示器的亮度等級。在起初的顯示系統中,顯示終端為CRT 設備,由于CRT 設備并不是線性發光器件,在復現灰度級時存在嚴重失真。這種失真是由光電信號之間的相互轉換和傳輸使整個圖像信息傳輸系統具有非線性引起的。這種非線性主要是由3 方面引入的:
(1)攝像設備的輸出亮度信號數值和實際亮度Li之間的非線性; (2)亮度信號數值之間的非線性;(3)顯示設備復現亮度Lo 和傳輸過來的亮度信號數值之間的非線性。
其復現亮度Lo 和實際亮度Li 之間的關系可以表示為:

式中,c 為比例系數;γ1 、γ2 、γ3 分別為第(1)、第(2)、第(3)部分非線性校正系數。為了保證灰度級的正確復現,必須在傳輸以前對圖像數據進行γ校正。令γ1γ2 = γ,γ3 = γCRT 則式(1)可以變化為:
其中LCRT為CRT 復現亮度,Li 為實際亮度,γ為原始傳輸的預先校正系數,γCRT為CRT 顯示特性系數, Si 為原始圖像數據。由式(2)可知,現在采用的標準圖像數據是經過γ校正后的原始顯示圖像數據,直接量化以后形成的數字化數據同樣包含有γ校正的信息,這些數字化的圖像數據如果由同CRT 顯示特性完全相同的顯示設備完成最終的圖像顯示時,可以正確復現原始的灰度級。
前面提到CRT的顯示特性為:

而LED 顯示屏的顯示特性為:

其中c 和c′為比例系數。以表現256 灰度顯示數據為例,CRT 的顯示特性和平板顯示器的顯示特性分別如圖1 (a)和圖1 (b)所示。

圖1 CRT 和FPD 的顯示特性
如果在進行圖像顯示時對圖像數據不能正確處理,就會導致灰度級的畸變,大幅降低圖像的顯示質量。如圖2 所示,圖2 (a)是經過γ校正后的原始圖像數據,由于L ED 顯示器的顯示特性,實際顯示結果同預期的現實結果存在很大的誤差;圖2 (b)給出了在各個灰度級上實際圖像數據和理想的圖像數據的偏差。
γ校正最初只是為了消除整個顯示系統的非線性誤差而引入的, 由于在此前相當長一段時間內顯示終端的主導地位一直為CRT 所占據,所以這種經過γ校正后的原始圖像數據已經被確定為標準圖像數據。短期來看,這種圖像數據的標準還不能被新的標準所取代。為了保證灰度級在平板顯示器上的正確復現,在顯示過程中必須進行灰度級校正。

圖2 L ED 上實際的和理想的圖像數據的偏差。 (a)原始圖像數據; (b)圖像數據的偏差。
4 灰度級差檢測分析方法的提出和實現
4. 1 測試
實驗中使用的測試儀器主要有柯美CS2100A色彩亮度計、柯美CL2200 色彩照度計和溫濕度計等。
測試條件如下:
(1)相對環境照度變化小于±10 %;
(2)測試距離在3. 5 ~5. 0 m ,測試時相對測試位置不發生變化;
(3)測試單元最小面積不得小于0. 5 m2 ;
(4)采集面積不得小于4 ×4 ,16 個像素點。
測試方法如下:
(1)采集儀器水平放置地面,與待測屏幕保持在同一高度,鏡頭視野完全覆蓋于待測屏幕內,采集積分面最少覆蓋16 個像素點;
(2)黑屏狀態下,測試屏幕亮度及環境照度均值,同時記錄環境溫濕度值;
(3)屏幕滿負荷工作30 min 后,開始測試;
(4)全屏隨機選取9 點測試,每組測試點、每級灰度連續測試5 次,取均值,記錄。
4. 2 數據分析
根據γ校正原理,任何L ED 顯示屏的顯示數據目前為8~10 bit ,以8 bit 顯示數據為例,設定屏幕的灰度等級能力為8 bit , 在灰度級正確顯示的前提下,得到如下灰度函數,如圖3 所示。

圖3 L ED 顯示灰度函數
圖中的橫向坐標為屏幕顯示的8 bit 顯示數據(d):0~255 ,縱坐標為這些顯示數據對應的顯示屏幕顯示的相對亮度數值(L).
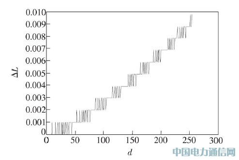
對數據進行規格化處理后,該函數的灰度級差分布情況如圖4 所示。

圖4 L ED 顯示8 bit 灰度等級的級差分布
圖4 中的橫向坐標仍為屏幕顯示的8 bit 顯示數據(d):0~255 ;縱坐標為這些顯示數據對應的具有8 bit 灰度等級顯示精度的屏幕顯示的相對亮度數值之間的灰度級差(ΔL).可以看到,由于精度的問題,灰度差的增量有畸變之處;同時可以看到這種量化的畸變從一定程度上反映出顯示屏的灰度控制精度。
如果屏幕的灰度等級能力提高到10 bit ,此時灰度級差分布情況如圖5 所示。
圖5 中的橫向坐標仍為屏幕顯示的8 bit 顯示數據(d):0~255 ;縱坐標為這些顯示數據對應的具有10 bit 灰度等級顯示精度的屏幕顯示的相對亮度數值之間的灰度級差(ΔL).
通過分析得到,具有8 bit 灰度等級顯示能力的顯示屏灰度增量畸變幅度約為4 ‰ ,而10 bit灰度等級顯示能力的顯示屏灰度增量畸變幅度控制在1 ‰左右,因而通過數據分析可以得到灰度等級的控制精度。

圖5 L ED 顯示10 bit 灰度等級的級差分布
5 實驗結果與討論
如果測量儀器的精度在±0. 1 cd/ m2 ,而環境照度在5 lx 以下,變化量參照前面的測量條件說明,通過灰度增量畸變檢測的方法可以初步獲得8~15 bit 顯示屏的灰度控制精度。但是在某些實際條件下,由于測量環境及儀器的誤差,加之顯示屏灰度控制的偏差可能影響測量的結果。
因此,在一定的條件下,采用灰度增量畸變統計分布的方式,可以更加準確地評估顯示屏的灰度控制精度。對8 bit 和10 bit 灰度等級顯示能力的顯示屏增量畸變幅度進行統計,得到如圖6所示的分布。

圖6 L ED 顯示8 bit 灰度等級的級差統計
圖6 和圖7 所示的是灰度增量畸變幅度的統計結果,圖中橫向坐標仍為屏幕顯示的灰度數量(d):0~255 ;縱坐標為灰度增量畸變幅度的排序情況(SΔL).其中圖6 顯示的為8 bit 灰度精度等級的顯示屏統計情況,圖7 顯示的為10 bit 灰度精度等級的顯示屏統計情況。
灰度增量畸變分布為前后兩個區,對于8 bit灰度精度等級的顯示屏來說,其增量畸變幅度約為±0. 04 ;對于10 bit 灰度精度等級的顯示屏來說,其增量畸變幅度約為±0. 01 .對這些統計數據求倒數,經過計算得到圖6 所示的灰度級控制精度為254~255 ,灰度精度為8 bit ; 而圖7 為1 020~1 022 ,灰度精度為10 bit .計算結果同實際情況相符合,基本說明了方法的有效性。

圖7 L ED 顯示10 bit 灰度等級的級差統計
6 結 論
通過分析LED 顯示器的顯示特性和灰度復現過程中圖像數據和灰度級之間函數關系,提出了一種顯示屏灰度等級的檢測方法,可以更加準確地評估顯示屏的灰度控制精度。實驗結果表明,這種利用灰度差增量畸變幅度的統計計算方法可以有效得到LED 大屏幕顯示產品灰度級控制的精度,具有很好的實用性。該方法是對LED 顯示屏測試方法的有效補充,可以檢測灰度控制精度更好的顯示屏幕,對于提高顯示屏灰度指標也是有利的。同時,所提出的方法在實際應用中還存在很多問題需要解決。如噪聲的評估和消除、非正態分布的結果評估等,這些工作都將在下一步的研究中開展。